Πόσοι κρατούμενοι χωράνε στις ελληνικές φυλακές; Σ’ αυτό το ερώτημα δίνει ξεκάθαρη απάντηση έρευνα-μελέτη που πραγματοποιήθηκε, για πρώτη φορά, από τη Γενική Γραμματεία Αντεγκληματικής Πολιτικής του Υπουργείου Δικαιοσύνης. Η αποτύπωση της χωρητικότητας των ελληνικών φυλακών έγινε με βάση τις διεθνείς προδιαγραφές (4 τ.μ. ανά κρατούμενο) και τα υφιστάμενα κτιριακά δεδομένα, ώστε να δίδει την πραγματική εικόνα των χώρων κράτησης και έτσι να συμβάλει στην διαχείριση του πληθυσμού των κρατουμένων.
Τα στοιχεία θα υπάρχουν στον ιστότοπο του Υπουργείου και θα επικαιροποιούνται, τακτικά, ως προς τον αριθμό κρατουμένων αλλά και τις διαθέσιμες θέσεις κράτησης.
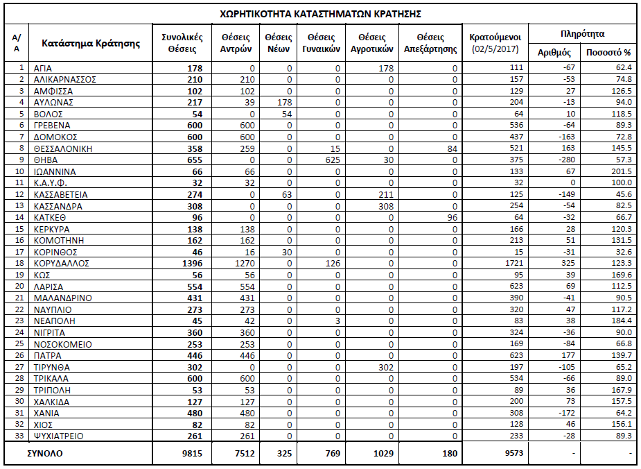
Στη σχετική εγκύκλιο του Γεν. Γραμματέα Αντεγκληματικής Πολιτικής κ. Ευτ.Φυτράκη, με την οποία ενημερώνονται όλοι οι αρμόδιοι φορείς, γίνεται, για πρώτη φορά, σαφής διαχωρισμός των επιμέρους κατηγοριών θέσεων κράτησης, καθώς αυτές διατίθενται αποκλειστικά στην εκάστοτε συγκεκριμένη κατηγορία κρατουμένων. Ειδικότερα βρέθηκαν 7512 θέσεις για άντρες, 325 θέσεις για νέους και ανηλίκους, 769 θέσεις για γυναίκες, 1029 θέσεις σε αγροτικές φυλακές, και 180 θέσεις για απεξάρτηση.
Από τα στοιχεία αυτά προκύπτει ότι αν και οι θέσεις κράτησης σε φυλακές είναι συνολικά 9815 (επί συνόλου κρατουμένων 9573), υφίσταται υπερπλήρωση σε φυλακές κράτησης ενηλίκων ανδρών.
Η αποφυγή του υπερπληθυσμού στις φυλακές αποτελεί σταθερή επιδίωξη του Υπουργείου Δικαιοσύνης, τόσο για την προστασία των ανθρωπίνων δικαιωμάτων όσο και για τη διατήρηση όρων ασφαλείας και εύρυθμης λειτουργίας σε αυτές. Η διάθεση του ελάχιστου, ανά κρατούμενο, χώρου, σε συνδυασμό με τις υπόλοιπες συνθήκες κράτησης, την παροχή ψυχοκοινωνικής στήριξης, δημιουργικής απασχόλησης, εκπαίδευσης των κρατουμένων αλλά και την ενίσχυση της σωφρονιστικής διοίκησης και την επιμόρφωση των προσωπικού, επιβάλλονται από διεθνή και ευρωπαϊκά πρότυπα (Λευκή Βίβλος, European Committee on Crime Problems, European Prison Rules, Recommendation No. R (99) 22 της Επιτροπής Υπουργών του Συμβουλίου της Ευρώπης για τον υπερπληθυσμό στις φυλακές), με στόχο την ομαλή επανένταξη και την πρόληψη της υποτροπής.
Αποτελεί, άλλωστε κοινή παραδοχή, ότι η ανθρώπινη και δίκαιη μεταχείριση των κρατουμένων συμβάλλει αποφασιστικά στην αντεγκληματική πολιτική.
Η τήρηση των παραπάνω όρων, πλην των άλλων, θωρακίζει τη χώρα από τις επικρίσεις διεθνών οργανισμών αλλά και τις καταδίκες από το Ευρωπαϊκό Δικαστήριο Δικαιωμάτων του Ανθρώπου, με ιδιαίτερες ηθικές και οικονομικές συνέπειες.
Ο επισυναπτόμενος πίνακας είναι προϊόν σύνθετης έρευνας με συγκεκριμένη μέθοδο (συλλογή, σύγκριση και επαλήθευση στοιχείων) και επικαιροποιημένα στοιχεία (από την εταιρία ΚΤΙΡΙΑΚΕΣ ΥΠΟΔΟΜΕΣ Α.Ε. και τα καταστήματα κράτησης). Για τον υπολογισμό της μέγιστης χωρητικότητας ελήφθησαν υπ΄όψιν, μεταξύ άλλων, τα ελάχιστα κριτήρια (4 τ.μ. ανά κρατούμενο σε κελί, 6 τ.μ. ανά πρώτο κρατούμενο, συν 4 τ.μ. για τον κάθε επόμενο κρατούμενο, σε θάλαμο, με τον θάλαμο να ορίζεται σε 15,9 τ.μ. και άνω) της Ευρωπαϊκής Επιτροπής για την Πρόληψη των Βασανιστηρίων και κάθε μορφής απάνθρωπης ή ταπεινωτικής μεταχείρισης ή τιμωρίας (CPT) του Συμβουλίου της Ευρώπης (CPT / Inf [2015] 44).

Discover more from socialpolicy.gr
Subscribe to get the latest posts sent to your email.









































